在线考试管理系统
微信 关注微信
微信二维码
高二【物理】——南坪
1.【复合题】

[图片][图片]

(1)【问答题】

[图片]

正确答案:详见答案
答案解析:

(2)【问答题】

滑槽运动前与挡板间的距离x;

 

正确答案:3R
答案解析:

(3)【问答题】

若滑槽与挡板碰撞后,立即撤除挡板,试通过分析、计算说明小滑块最终能否停在滑槽上。

正确答案:见解析
答案解析:

2.【复合题】

[图片][图片]

(1)【问答题】

[图片]

正确答案:40N
答案解析:

(2)【问答题】

[图片]

正确答案:8N
答案解析:

(3)【问答题】

(3)在满足(2)的条件下,试求小球到最高点时滑块的位移大小。

正确答案:1/6m
答案解析:

3.【复合题】

[图片][图片]

(1)【问答题】

[图片]

正确答案:-1*10(负三次方)
答案解析:

(2)【问答题】

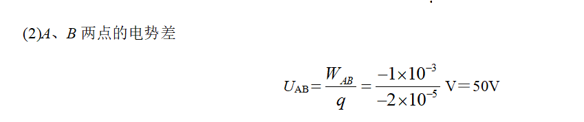
[图片]

正确答案:50V
答案解析:

(3)【问答题】

[图片]

正确答案:5*10(3次方)伏每米
答案解析:

4.【复合题】

[图片]

(1)【填空题】

[图片] 

(2)【填空题】

[图片]

5.【复合题】

[图片]

(1)【填空题】

[图片]

(2)【填空题】

根据以上数据估算电容器的电容值为___________F(结果保留两位有效数字)。

(3)【填空题】

(如果将电阻R换成一个阻值更大的电阻,则放电过程释放的电荷量___________(选填“变多”“不变”或“变少”)。

免费创建考试